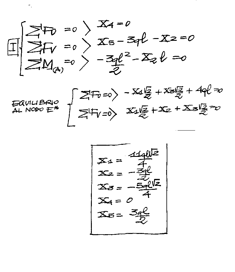
1    2

analitica